The high-performance wrapped sealings are produced with advanced production equipment and researched & developed by ourselves. The product is used to wrap a layer of complex film, which is water/wear/age proof outside the soft packing material, and consequently extends the service life of packing materials. It can be directly used to seal apertures beside doors and windows. Featuring perfect seal ability, the product is applicable to various requirements on door & window sealing, sound insulation and shock absorption.
1.Durable function with the production efficiency prompted 30% Designed with auto-adhesion & rapid insertion feature, it can be shorn around the corner and installed fast and easily Excellent elasticity allows minimum error for windows Perfect elasticity is still kept in chill environment It can damp the sound and reduce noises via dry operation without glue coating 2.Environmentally-sound without pollution Safe and innoxious 3.Long life Stable performance and long service life can be maintained in various environmentsThe surface is ageing-&wear-proof and does not wrinkle, stretch or adhere to oil paintHigh temperature or dusts may not generate influences; the mildew would not occur Resistant to ultraviolet radiation and ozone erosion 4.Strictly following international standards Conforming to Britain BS7412 & BS5750 Standard Applicable to a variety of advanced door and window systems and can be designed and manufactured according to customer drawings and samples.Rich colors: white, brown, black, grey, beige, light oak color, and maroon All-around technical support and complete technical services
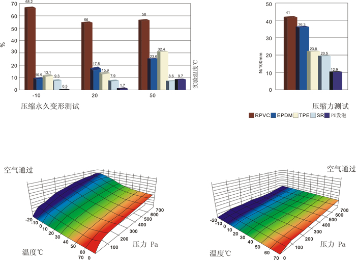
PU Foam Seal/seal Strip Aohui production line imported from Germany the most complete, with the German experts developed sealing technology industry is more excellent launch performance, more energy-efficient, environmentally friendly world-class third-generation seal products - coated-type seal. The product uses multiple composite extrusion, sealing, durability, environmental protection, aesthetics and other performance has exceeded all previous traditional seal. Unique design and excellent sealing performance has become the first choice of door and window industry, to lead the innovation era doors and windows sealed. We also tailor-made for each door and window manufacturers, for our end-users an easy life living environment. Superiority 1.After 20 years 50 million used, maintaining a good sealing effect, the most reliable sealing system 2.co-extruded using a variety of different materials, is almost perfect sealing doors and windows 3. record thermal insulation K value 0.033W / m k 4.significant noise reduction effect of noise 5.excellent thermal insulation performance, reduced by 10% -15% of heat loss 6. and all the paint, cleaning agents do not react, SGS certified non-toxic environment 7.coated wear-resistant coating, anti-aging, UV and water erosion 8. maintain excellent flexibility in cold weather to solve the high temperature sealing performance degradation caused by changes 9. quick installation, 30% increase in production efficiency, reduce waste of human resources 10.rich colors: white, silver gray, light yellow, black, brown your option